登录
教学资源云中心
|
网络知识管理
|
慕课平台
|
世纪阳光
|
图片库
|
市优质课堂
|
3D视频
首页
四年级数学苏教版课标
上册
上 传 者 :
智乐园资源
单 位 :
上传时间 :
2017-07-13 14:34:22
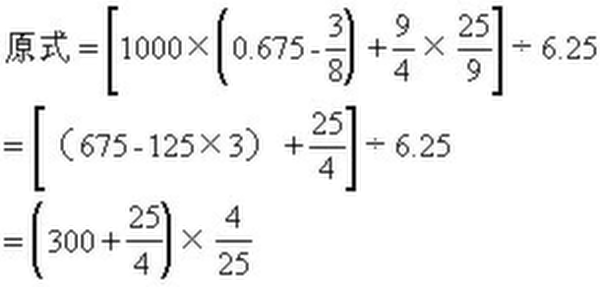
带中括号的小数四则混合运算(二) 数学 四年级.jpg
(9.81KB)
浏览 : 0
下载 : 0
举报/纠错
收藏
已收藏 |
取消
全屏显示
关闭全屏
0
0
类别 : 图片
标签: 无
更多
预览本资源的用户最终下载了
相关推荐资源
|
资源简介
(无)
相关推荐资源
|
资源简介
(无)
资源足迹
智乐园资源
2017-07-13 14:34:24
上传